آخرین بروزرسانی شنبه 1404/08/10
  1. انتشارات جعفری نوین
  2. لاتین
  3. رادیولوژی - Radiology
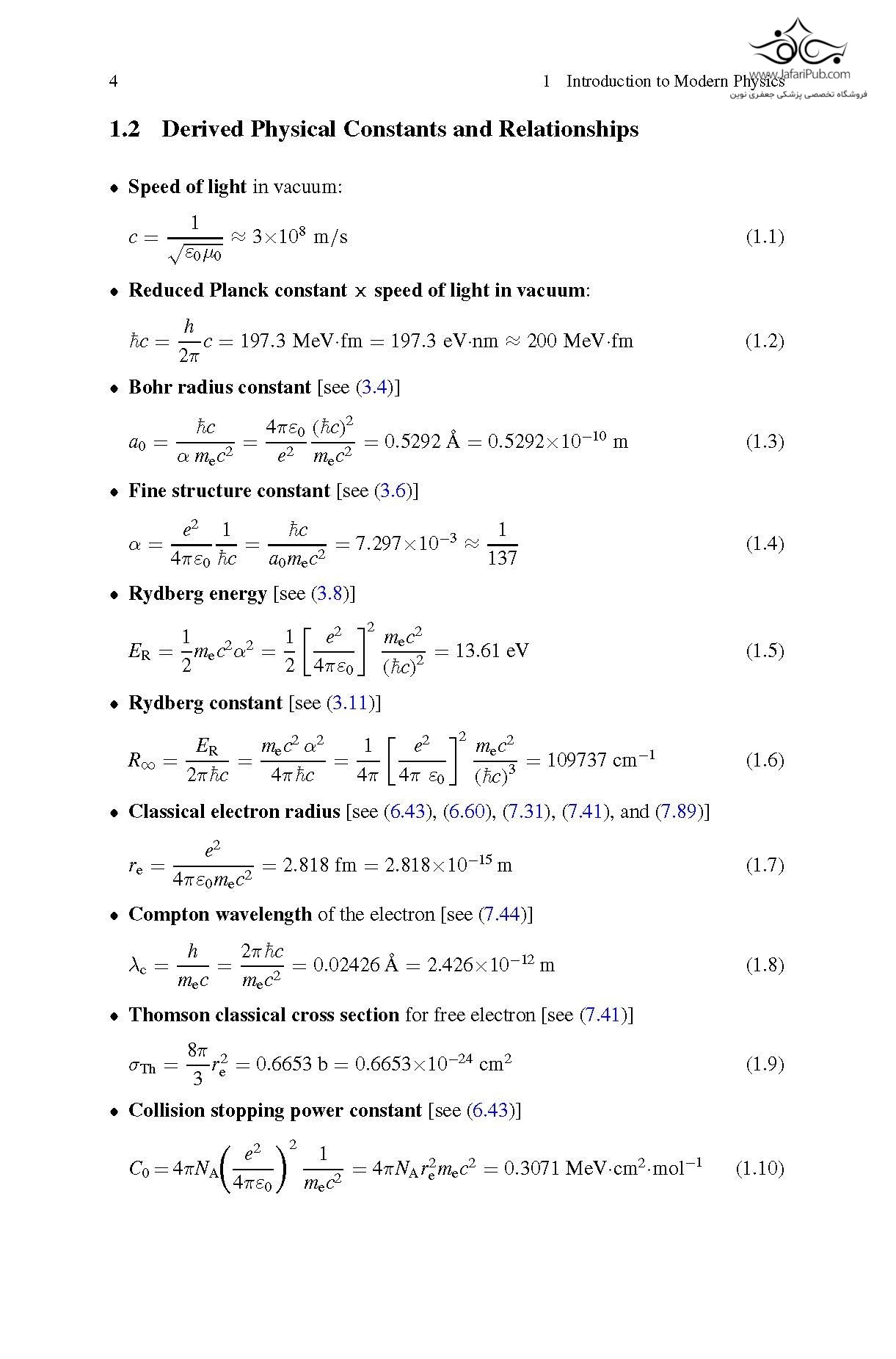
  4. Radiation Physics for Medical Physicists
دارای 10% تخفیف

Radiation Physics for Medical Physicists | فیزیک تابش برای فیزیکدانان پزشکی

کد کتاب 104078
(637 )

این کتاب درسی، دانش پایه فیزیک اتمی، هسته‌ای و تابشی را که متخصصان فیزیک پزشکی و مهندسی زیست‌پزشکی برای استفاده کارآمد و ایمن از پرتوهای یونیزان در پزشکی به آن نیاز دارند، خلاصه می‌کند.

تعداد صفحه
954
چاپ
رنگی
زبان
انگلیسی
سال نشر
2016
قطع
رحلی
نوبت چاپ
3

موجود در انبار (قیمت و موجودی بروز می باشد ، با خیال راحت خرید کنید)
ارسال رایگان
کتاب فیزیک رادیویی فیزیکدانان پزشکی

این کتاب درسی، دانش پایه فیزیک اتمی، هسته ای و تابشی را که متخصصان فیزیک پزشکی و مهندسی زیست پزشکی برای استفاده کارآمد و ایمن از پرتوهای یونیزان در پزشکی به آن نیاز دارند، خلاصه می کند. این کتاب درسی با تمرکز بر اصول اساسی فیزیک تابش، دانش پیش نیاز برای دوره های فیزیک پزشکی در مقاطع تحصیلات تکمیلی و پس از فارغ التحصیلی در فیزیک پرتودرمانی، دزیمتری تابش، فیزیک تصویربرداری و فیزیک سلامت را پوشش می دهد و بدین ترتیب ارتباط بین فیزیک مقدماتی کارشناسی و پیچیدگی های چهار تخصص فیزیک پزشکی: فیزیک رادیولوژی تشخیصی، فیزیک پزشکی هسته ای، فیزیک انکولوژی تابشی و فیزیک سلامت را فراهم می کند. برای درک اهمیت دزیمتری تابشی در فیزیک پزشکی، سه فصل جدید به 14 فصل ویرایش قبلی اضافه شده است. فصل 15 مقدمه ای کلی بر دزیمتری تابشی ارائه می دهد. فصل 16 به سیستم های دزیمتری تابشی مطلق می پردازد که دوز جذبی یا برخی دیگر از کمیت های مرتبط با دوز را مستقیماً از سیگنال اندازه گیری شده توسط دزیمتر تعیین می کنند. سه تکنیک دزیمتری مطلق شناخته شده و به تفصیل شرح داده شده اند: (1) کالری متریک؛ (2) شیمیایی (فریک) و (3) یونومتریک. فصل ۱۷ به سیستم های دزیمتری نسبی تابش می پردازد که به کالیبراسیون دزیمتری قبلی در یک میدان تابشی شناخته شده متکی هستند. تاکنون سیستم های دزیمتری نسبی تابش زیادی توسعه یافته اند و چهار دسته از مهم ترین آن ها که به طور معمول در پزشکی و حفاظت در برابر تابش استفاده می شوند، در این فصل شرح داده شده اند: (۱) دزیمتری یونومتری؛ (۲) دزیمتری لومینسانس؛ (۳) دزیمتری نیمه هادی؛ و (۴) دزیمتری فیلم.

این کتاب به عنوان یک کتاب درسی برای دوره فیزیک تابش در برنامه های تحصیلات تکمیلی فیزیک پزشکی دانشگاهی و همچنین یک کتاب مرجع برای داوطلبانی که برای امتحانات صدور گواهینامه در زیرشاخه های فیزیک پزشکی آماده می شوند، در نظر گرفته شده است. همچنین ممکن است برای بسیاری از متخصصان، نه تنها فیزیکدانان، که در مشاغل روزانه خود با جنبه های مختلف فیزیک پزشکی یا فیزیک تابش سروکار دارند و نیاز یا تمایل به بهبود درک خود از فیزیک تابش دارند، مورد توجه باشد.

 

Radiation Physics for Medical Physicists

This textbook summarizes the basic knowledge of atomic, nuclear, and radiation physics that professionals working in medical physics and biomedical engineering need for efficient and safe use of ionizing radiation in medicine. Concentrating on the underlying principles of radiation physics, the textbook covers the prerequisite knowledge for medical physics courses on the graduate and post-graduate levels in radiotherapy physics, radiation dosimetry, imaging physics, and health physics, thus providing the link between elementary undergraduate physics and the intricacies of four medical physics specialties: diagnostic radiology physics, nuclear medicine physics, radiation oncology physics, and health physics. To recognize the importance of radiation dosimetry to medical physics three new chapters have been added to the 14 chapters of the previous edition. Chapter 15 provides a general introduction to radiation dosimetry. Chapter 16 deals with absolute radiation dosimetry systems that establish absorbed dose or some other dose related quantity directly from the signal measured by the dosimeter. Three absolute dosimetry techniques are known and described in detail: (i) calorimetric; (ii) chemical (Fricke), and (iii) ionometric. Chapter 17 deals with relative radiation dosimetry systems that rely on a previous dosimeter calibration in a known radiation field. Many relative radiation dosimetry systems have been developed to date and four most important categories used routinely in medicine and radiation protection are described in this chapter: (i) Ionometric dosimetry; (ii) Luminescence dosimetry; (iii) Semiconductor dosimetry; and (iv) Film dosimetry.
The book is intended as a textbook for a radiation physics course in academic medical physics graduate programs as well as a reference book for candidates preparing for certification examinations in medical physics sub-specialties. It may also be of interest to many professionals, not only physicists, who in their daily occupations deal with various aspects of medical physics or radiation physics and have a need or desire to improve their understanding of radiation physics.

Product details

  • Format Hardback | 906 pages
  • Dimensions 155 x 235 x 50.8mm | 1,515g
  • Publication date 06 Dec 2016
  • Publisher Springer International Publishing AG
  • Publication City/Country Cham, Switzerland
  • Language English
  • Edition Revised
  • Edition statement 3rd ed. 2016
  • Illustrations note 66 Tables, color; 100 Tables, black and white; 67 Illustrations, color; 190 Illustrations, black and white; LVIII, 906 p. 257 illus., 67 illus. in color.
  • ISBN10 3319253808
  • ISBN13 9783319253800
  • Bestsellers rank 918,966

سایر کتابهای مرتبط

Spinal Imaging | تصویربرداری ستون فقرات
10%

Spinal Imaging

کد کتاب : 200175

انتشارات Springer

قیمت اصلی کتاب 1,479,000 تومان بود
قیمت فعلی کتاب 1,479,000 تومان است
Imaging in Management of Breast Diseases | تصویربرداری در مدیریت بیماری های پستان
10%

Imaging in Management of Breast Diseases

کد کتاب : 199841

انتشارات Springer

قیمت اصلی کتاب 1,281,000 تومان بود
قیمت فعلی کتاب 1,281,000 تومان است
Third Space Endoscopy | آندوسکوپی فضای سوم
10%

Third Space Endoscopy

کد کتاب : 199678

انتشارات Springer

قیمت اصلی کتاب 519,000 تومان بود
قیمت فعلی کتاب 519,000 تومان است
Radiology in Global Health | رادیولوژی در سلامت جهانی
10%

Radiology in Global Health

کد کتاب : 199623

انتشارات Springer

قیمت اصلی کتاب 1,456,000 تومان بود
قیمت فعلی کتاب 1,456,000 تومان است
Ultrasound-Guided Limb Surgery | جراحی اندام تحت هدایت سونوگرافی
10%

Ultrasound-Guided Limb Surgery

کد کتاب : 199617

انتشارات Springer

قیمت اصلی کتاب 558,000 تومان بود
قیمت فعلی کتاب 558,000 تومان است
Neonatal Ultrasound | سونوگرافی نوزادان
10%

Neonatal Ultrasound

کد کتاب : 199285

انتشارات Springer

قیمت اصلی کتاب 832,000 تومان بود
قیمت فعلی کتاب 832,000 تومان است
CT of Non-Traumatic Body Emergencies | سی تی اسکن اورژانس های غیرتروماتیک بدن
10%

CT of Non-Traumatic Body Emergencies

کد کتاب : 199048

انتشارات Springer

قیمت اصلی کتاب 1,330,000 تومان بود
قیمت فعلی کتاب 1,330,000 تومان است
Radiology of Hepatobiliary Diseases | رادیولوژی بیماری های کبدی-صفراوی
10%

Radiology of Hepatobiliary Diseases

کد کتاب : 198971

انتشارات Springer

قیمت اصلی کتاب 3,033,000 تومان بود
قیمت فعلی کتاب 3,033,000 تومان است
Neuroimaging of Headache Disorders | تصویربرداری عصبی از اختلالات سردرد
10%

Neuroimaging of Headache Disorders

کد کتاب : 197881

انتشارات Springer

قیمت اصلی کتاب 749,000 تومان بود
قیمت فعلی کتاب 749,000 تومان است
EDiR - The Essential Guide Second Edition | EDiR - نسخه دوم راهنمای ضروری
10%

EDiR - The Essential Guide Second Edition

کد کتاب : 196416

انتشارات Springer

قیمت اصلی کتاب 1,017,000 تومان بود
قیمت فعلی کتاب 1,017,000 تومان است
Clinical Atlas of Bone SPECT/CT | اطلس بالینی استخوان SPECT/CT
10%

Clinical Atlas of Bone SPECT/CT

کد کتاب : 190673

انتشارات Springer

قیمت اصلی کتاب 6,681,000 تومان بود
قیمت فعلی کتاب 6,681,000 تومان است
Forensic Imaging of Trauma | تصویربرداری پزشکی قانونی از تروما
10%

Forensic Imaging of Trauma

کد کتاب : 197044

انتشارات Springer

قیمت اصلی کتاب 650,000 تومان بود
قیمت فعلی کتاب 650,000 تومان است
Case-based Atlas of Cardiac Imaging 1st ed | اطلس تصویربرداری قلبی مبتنی بر مورد ویرایش اول
10%

Case-based Atlas of Cardiac Imaging 1st ed

کد کتاب : 196691

انتشارات Springer

قیمت اصلی کتاب 2,020,000 تومان بود
قیمت فعلی کتاب 2,020,000 تومان است
Data Driven Approaches on Medical Imaging | رویکردهای مبتنی بر داده در تصویربرداری پزشکی
10%

Data Driven Approaches on Medical Imaging

کد کتاب : 196677

انتشارات Springer

قیمت اصلی کتاب 802,000 تومان بود
قیمت فعلی کتاب 802,000 تومان است
Digital Molecular Magnetic Resonance Imaging | تصویربرداری رزونانس مغناطیسی مولکولی دیجیتال
10%

Digital Molecular Magnetic Resonance Imaging

کد کتاب : 196644

انتشارات Springer

قیمت اصلی کتاب 1,231,000 تومان بود
قیمت فعلی کتاب 1,231,000 تومان است
A Practical Guide to Advanced Diffusion MRI | راهنمای عملی MRI انتشار پیشرفته
10%

A Practical Guide to Advanced Diffusion MRI

کد کتاب : 196603

انتشارات Springer

قیمت اصلی کتاب 641,000 تومان بود
قیمت فعلی کتاب 641,000 تومان است
Nanoimaging - Future of Precision Medicine | تصویربرداری نانو - آینده پزشکی دقیق
10%

Nanoimaging - Future of Precision Medicine

کد کتاب : 196417

انتشارات Springer

قیمت اصلی کتاب 12,699,000 تومان بود
قیمت فعلی کتاب 12,699,000 تومان است
Textbook of Interventional Radiology | کتاب درسی رادیولوژی مداخله ای
10%

Textbook of Interventional Radiology

کد کتاب : 196386

انتشارات Springer

قیمت اصلی کتاب 1,666,000 تومان بود
قیمت فعلی کتاب 1,666,000 تومان است

پرفروش های لاتین/رادیولوژی - Radiology

Musculoskeletal Ultrasound 3rd Edition2016 | سونوگرافی اسکلتی عضلانی
10%

Musculoskeletal Ultrasound 3rd Edition2016

کد کتاب : 119968

انتشارات Jaypee Brothers Medical Publishers

قیمت اصلی کتاب 3,577,000 تومان بود
قیمت فعلی کتاب 3,577,000 تومان است
Diagnostic Ultrasound: Vascular 2nd Edition | سونوگرافی تشخیصی: نسخه دوم عروق
10%

Diagnostic Ultrasound: Vascular 2nd Edition

کد کتاب : 197262

انتشارات ELSEVIER

قیمت اصلی کتاب 2,244,000 تومان بود
قیمت فعلی کتاب 2,244,000 تومان است
Diagnostic Imaging Armstrong 7th Edicion  2013 | تصویربرداری تشخیصی آرمسترانگ2013  ویرایش هفتم
5%

Diagnostic Imaging Armstrong 7th Edicion 2013

کد کتاب : 101295

انتشارات Wolters Kluwer

قیمت اصلی کتاب 1,338,000 تومان بود
قیمت فعلی کتاب 1,338,000 تومان است
Learning Radiology: Recognizing the Basics | یادگیری رادیولوژی: شناخت مبانی
10%

Learning Radiology: Recognizing the Basics

کد کتاب : 103366

انتشارات ELSEVIER

قیمت اصلی کتاب 1,080,000 تومان بود
قیمت فعلی کتاب 1,080,000 تومان است
Practice of Clinical Echocardiography
10%

Practice of Clinical Echocardiography

کد کتاب : 103751

انتشارات ELSEVIER

قیمت اصلی کتاب 1,794,000 تومان بود
قیمت فعلی کتاب 1,794,000 تومان است
Sectional Anatomy by MRI and CT | آناتومی مقطعی توسط MRI و CT
10%

Sectional Anatomy by MRI and CT

کد کتاب : 103752

انتشارات ELSEVIER

قیمت اصلی کتاب 2,298,000 تومان بود
قیمت فعلی کتاب 2,298,000 تومان است
Imaging Anatomy: Chest, Abdomen, Pelvis
10%

Imaging Anatomy: Chest, Abdomen, Pelvis

کد کتاب : 103754

انتشارات ELSEVIER

قیمت اصلی کتاب 4,388,000 تومان بود
قیمت فعلی کتاب 4,388,000 تومان است
Nuclear Medicine: Case Review Series
10%

Nuclear Medicine: Case Review Series

کد کتاب : 103772

انتشارات ELSEVIER

قیمت اصلی کتاب 1,606,000 تومان بود
قیمت فعلی کتاب 1,606,000 تومان است
ECG Time Series Variability Analysis
10%

ECG Time Series Variability Analysis

کد کتاب : 103823

انتشارات Apple Academic Press Inc

قیمت اصلی کتاب 1,767,000 تومان بود
قیمت فعلی کتاب 1,767,000 تومان است
AOSpine Masters Series, Volume 8: Back Pain
10%

AOSpine Masters Series, Volume 8: Back Pain

کد کتاب : 103868

انتشارات Thieme

قیمت اصلی کتاب 847,000 تومان بود
قیمت فعلی کتاب 847,000 تومان است
Practical Urological Ultrasound
10%

Practical Urological Ultrasound

کد کتاب : 103888

انتشارات Springer

قیمت اصلی کتاب 1,314,000 تومان بود
قیمت فعلی کتاب 1,314,000 تومان است
Oncologic Imaging: Urology
10%

Oncologic Imaging: Urology

کد کتاب : 103925

انتشارات Springer

قیمت اصلی کتاب 958,000 تومان بود
قیمت فعلی کتاب 958,000 تومان است
Ultrasound2017 سونوگرافی
10%

Ultrasound2017 سونوگرافی

کد کتاب : 103932

انتشارات Oxford University Press

قیمت اصلی کتاب 2,563,000 تومان بود
قیمت فعلی کتاب 2,563,000 تومان است
Radiology Secrets Plus
10%

Radiology Secrets Plus

کد کتاب : 103978

انتشارات ELSEVIER

قیمت اصلی کتاب 3,446,000 تومان بود
قیمت فعلی کتاب 3,446,000 تومان است
Neuroradiology: The Requisites
10%

Neuroradiology: The Requisites

کد کتاب : 103984

انتشارات ELSEVIER

قیمت اصلی کتاب 2,356,000 تومان بود
قیمت فعلی کتاب 2,356,000 تومان است
Emergency Radiology: The Requisites
10%

Emergency Radiology: The Requisites

کد کتاب : 103995

انتشارات ELSEVIER

قیمت اصلی کتاب 1,591,000 تومان بود
قیمت فعلی کتاب 1,591,000 تومان است
Diagnostic Imaging: Pediatrics
10%

Diagnostic Imaging: Pediatrics

کد کتاب : 103998

انتشارات ELSEVIER

قیمت اصلی کتاب 4,540,000 تومان بود
قیمت فعلی کتاب 4,540,000 تومان است
CT and MRI of the Whole Body, 2-Volume Set
10%

CT and MRI of the Whole Body, 2-Volume Set

کد کتاب : 104006

انتشارات ELSEVIER

قیمت اصلی کتاب 7,230,000 تومان بود
قیمت فعلی کتاب 7,230,000 تومان است
Breast Imaging: The Requisites
10%

Breast Imaging: The Requisites

کد کتاب : 104010

انتشارات ELSEVIER

قیمت اصلی کتاب 1,826,000 تومان بود
قیمت فعلی کتاب 1,826,000 تومان است
MRI at a Glance
10%

MRI at a Glance

کد کتاب : 104038

انتشارات John Wiley-Sons

قیمت اصلی کتاب 859,000 تومان بود
قیمت فعلی کتاب 859,000 تومان است
Basic Guide to Dental Radiography
10%

Basic Guide to Dental Radiography

کد کتاب : 104040

انتشارات John Wiley-Sons

قیمت اصلی کتاب 859,000 تومان بود
قیمت فعلی کتاب 859,000 تومان است
Pediatric Radiology Casebase
10%

Pediatric Radiology Casebase

کد کتاب : 104064

انتشارات Thieme

قیمت اصلی کتاب 1,561,000 تومان بود
قیمت فعلی کتاب 1,561,000 تومان است
Radiation Physics for Medical Physicists | فیزیک تابش برای فیزیکدانان پزشکی
10%

Radiation Physics for Medical Physicists

کد کتاب : 104078

انتشارات Springer

قیمت اصلی کتاب 3,409,000 تومان بود
قیمت فعلی کتاب 3,409,000 تومان است
Clinical Sonography: A Practical Guide
10%

Clinical Sonography: A Practical Guide

کد کتاب : 104151

انتشارات Lippincott Williams

قیمت اصلی کتاب 2,651,000 تومان بود
قیمت فعلی کتاب 2,651,000 تومان است
Ultrasound: The Requisites | سونوگرافی: الزامات: الزامات ویرایش سوم
10%

Ultrasound: The Requisites

کد کتاب : 104170

انتشارات ELSEVIER

قیمت اصلی کتاب 2,415,000 تومان بود
قیمت فعلی کتاب 2,415,000 تومان است
Imaging in Neurology
10%

Imaging in Neurology

کد کتاب : 104179

انتشارات ELSEVIER

قیمت اصلی کتاب 1,944,000 تومان بود
قیمت فعلی کتاب 1,944,000 تومان است
Imaging Anatomy: Musculoskeletal
10%

Imaging Anatomy: Musculoskeletal

کد کتاب : 104180

انتشارات ELSEVIER

قیمت اصلی کتاب 3,681,000 تومان بود
قیمت فعلی کتاب 3,681,000 تومان است
Diagnostic Ultrasound: Abdomen and Pelvis
10%

Diagnostic Ultrasound: Abdomen and Pelvis

کد کتاب : 104183

انتشارات ELSEVIER

قیمت اصلی کتاب 3,887,100 تومان بود
قیمت فعلی کتاب 3,887,100 تومان است
Diagnostic Imaging: Genitourinary
10%

Diagnostic Imaging: Genitourinary

کد کتاب : 104184

انتشارات ELSEVIER

قیمت اصلی کتاب 2,356,000 تومان بود
قیمت فعلی کتاب 2,356,000 تومان است
Diagnostic Imaging: Brain
10%

Diagnostic Imaging: Brain

کد کتاب : 104185

انتشارات ELSEVIER

قیمت اصلی کتاب 4,663,000 تومان بود
قیمت فعلی کتاب 4,663,000 تومان است
Diagnostic Imaging: Obstetrics
10%

Diagnostic Imaging: Obstetrics

کد کتاب : 104186

انتشارات ELSEVIER

قیمت اصلی کتاب 4,329,000 تومان بود
قیمت فعلی کتاب 4,329,000 تومان است
Diagnostic Imaging: Nuclear Medicine
10%

Diagnostic Imaging: Nuclear Medicine

کد کتاب : 104187

انتشارات ELSEVIER

قیمت اصلی کتاب 2,239,000 تومان بود
قیمت فعلی کتاب 2,239,000 تومان است

سوالات متداول در مورد خرید کتاب Radiation Physics for Medical Physicists

قیمت این کتاب بسته به نوع جلد و نسخه متفاوت است و از 3,409,000 تومان شروع می شود. در حال حاضر با تخفیف 3,068,100 تومان عرضه می شود.
برای کتاب های انگلیسی یا لاتین، زمان تحویل بین 3 تا 6 روز کاری است.