آخرین بروزرسانی چهارشنبه 1404/07/30
  1. انتشارات جعفری نوین
  2. لاتین
  3. خون و سرطان - Hematology & Oncology
  4. Haematolymphoid Tumours: WHO Classification of Tumours 5th Edition
دارای 10% تخفیف

Haematolymphoid Tumours: WHO Classification of Tumours 5th Edition | تومورهای هماتولنفوئید: طبقه بندی تومورها توسط سازمان بهداشت جهانی، ویرایش پنجم

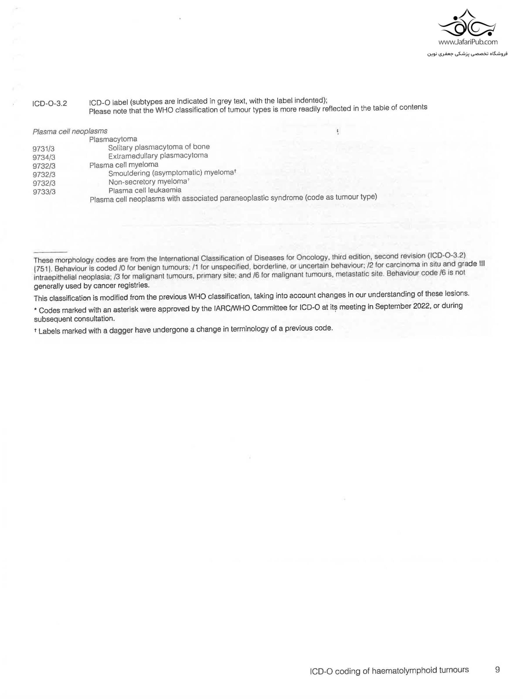
کد کتاب 200261
(3 )

کتاب «تومورهای هماتولنفوئید» جلد یازدهم از پنجمین ویرایش مجموعه WHO در مورد طبقه‌بندی تومورهای انسانی است. این مجموعه (که با نام کتاب‌های آبی WHO نیز شناخته می‌شود) به عنوان استاندارد طلایی برای تشخیص تومورها در نظر گرفته می‌شود و شامل ترکیبی منحصر به فرد از تشخیص هیستوپاتولوژیک با آسیب‌شناسی دیجیتال و مولکولی است.

تعداد صفحه
958
چاپ
رنگی
زبان
انگلیسی
سال نشر
2024
قطع
رحلی
نوبت چاپ
پنجم

موجود در انبار (قیمت و موجودی بروز می باشد ، با خیال راحت خرید کنید)

خرید کتاب Haematolymphoid Tumours: WHO Classification of Tumours 5th Edition با 10 درصد تخفیف

تومورهای هماتولنفوئید: طبقه بندی تومورها توسط سازمان بهداشت جهانی، ویرایش پنجم

لطفاً توجه داشته باشید که محتوای این جلد برای انتشار چاپی به دو بخش تقسیم شده است: بخش الف و بخش ب که به صورت فشرده در کنار هم قرار گرفته اند.

کتاب «تومورهای هماتولنفوئید» جلد یازدهم از پنجمین ویرایش مجموعه WHO در مورد طبقه بندی تومورهای انسانی است. این مجموعه (که با نام کتاب های آبی WHO نیز شناخته می شود) به عنوان استاندارد طلایی برای تشخیص تومورها در نظر گرفته می شود و شامل ترکیبی منحصر به فرد از تشخیص هیستوپاتولوژیک با آسیب شناسی دیجیتال و مولکولی است. این کتاب های مرجع معتبر و مختصر، استانداردهای بین المللی ضروری را برای هر کسی که در مراقبت از بیماران مبتلا به سرطان یا تحقیقات سرطان مشارکت دارد، ارائه می دهند و زیربنای درمان فردی بیمار و همچنین تحقیق در مورد همه جنبه های علت، پیشگیری، درمان و آموزش سرطان هستند.


در این ویرایش چه چیزهایی جدید است؟

ویرایش پنجم، که توسط هیئت تحریریه طبقه بندی تومورهای سازمان بهداشت جهانی هدایت می شود، یک طبقه بندی منسجم و واحد از سرطان را ارائه می دهد که در مجموعه ای از جلدهای مجزا بر اساس محل آناتومیک (دستگاه گوارش، پستان، بافت نرم و استخوان و غیره) سازماندهی شده و به صورت سیستماتیک ساختار یافته است، و هر نوع تومور در یک طبقه بندی طبقه بندی شده است: محل، دسته، خانواده (کلاس)، نوع و زیرگروه. در هر جلد، اکنون موارد از خوش خیم تا بدخیم فهرست شده اند و تحت مجموعه ای از عناوین به روز شده، از جمله هیستوپاتولوژی، آسیب شناسی مولکولی تشخیصی، مرحله بندی و معیارهای تشخیصی ضروری و مطلوب که به راحتی قابل خواندن هستند، شرح داده شده اند.

Haematolymphoid Tumours: WHO Classification of Tumours 5th Edition

Please note that the contents of this volume have been split into two parts for publication in print: Part A and Part B which are shrink-wrapped together.

Haematolymphoid Tumours is Volume 11 in the 5th edition of the WHO series on the classification of human tumors. This series (also known as the WHO Blue Books) is regarded as the gold standard for the diagnosis of tumors and comprises a unique synthesis of histopathological diagnosis with digital and molecular pathology. These authoritative and concise reference books provide indispensable international standards for anyone involved in the care of patients with cancer or in cancer research, underpinning individual patient treatment as well as research into all aspects of cancer causation, prevention, therapy, and education.

What’s new in this edition?

The 5th edition, guided by the WHO Classification of Tumours Editorial Board, establishes a single coherent cancer classification presented across a collection of individual volumes organized on the basis of anatomical site (digestive system, breast, soft tissue and bone, etc.) and structured in a systematic manner, with each tumor type listed within a taxonomic classification: site, category, family (class), type, and subtype. In each volume, the entities are now listed from benign to malignant and are described under an updated set of headings, including histopathology, diagnostic molecular pathology, staging, and easy-to-read essential and desirable diagnostic criteria.

Product details

  • Publisher ‏ : ‎ World Health Organization
  • Publication date ‏ : ‎ August 21, 2024
  • Edition ‏ : ‎ 5th
  • Language ‏ : ‎ English
  • Print length ‏ : ‎ 958 pages
  • ISBN-10 ‏ : ‎ 9283245202
  • ISBN-13 ‏ : ‎ 978-9283245209
  • Item Weight ‏ : ‎ 6.05 pounds
  • Dimensions ‏ : ‎ 8.26 x 2.5 x 10.43 inches
برچسب ها : تومور | هماتولنفوئید |

سایر کتابهای مرتبط

Cancer Immunology: The Immune System and Tumor | ایمونولوژی سرطان: سیستم ایمنی و تومور
10%

Cancer Immunology: The Immune System and Tumor

کد کتاب : 200220

انتشارات Springer

قیمت اصلی کتاب 2,550,000 تومان بود
قیمت فعلی کتاب 2,550,000 تومان است
Cancer Diagnosis: Tumor Immunodiagnostic Tests | تشخیص سرطان: آزمایش های ایمونوتراپی تومور
10%

Cancer Diagnosis: Tumor Immunodiagnostic Tests

کد کتاب : 200223

انتشارات Springer

قیمت اصلی کتاب 2,622,000 تومان بود
قیمت فعلی کتاب 2,622,000 تومان است
Biopsy Interpretation of Soft Tissue Tumors | تفسیر بیوپسی تومورهای بافت نرم
5%

Biopsy Interpretation of Soft Tissue Tumors

کد کتاب : 200050

انتشارات Wolters Kluwer

قیمت اصلی کتاب 3,840,000 تومان بود
قیمت فعلی کتاب 3,840,000 تومان است
Brain Tumors: An Interdisciplinary Approach | تومورهای مغزی: یک رویکرد میان رشته ای
10%

Brain Tumors: An Interdisciplinary Approach

کد کتاب : 199748

انتشارات Springer

قیمت اصلی کتاب 2,238,000 تومان بود
قیمت فعلی کتاب 2,238,000 تومان است
Surgical Pathology: Cases and Illustrations | آسیب شناسی جراحی: موارد و تصاویر
10%

Surgical Pathology: Cases and Illustrations

کد کتاب : 198965

انتشارات Springer

قیمت اصلی کتاب 2,218,000 تومان بود
قیمت فعلی کتاب 2,218,000 تومان است
Pediatric Surgical Oncology | انکولوژی جراحی کودکان
10%

Pediatric Surgical Oncology

کد کتاب : 199444

انتشارات Springer

قیمت اصلی کتاب 4,993,000 تومان بود
قیمت فعلی کتاب 4,993,000 تومان است
Radiology of Hepatobiliary Diseases | رادیولوژی بیماری های کبدی-صفراوی
10%

Radiology of Hepatobiliary Diseases

کد کتاب : 198971

انتشارات Springer

قیمت اصلی کتاب 3,033,000 تومان بود
قیمت فعلی کتاب 3,033,000 تومان است
Gynecologic and Obstetric Pathology 2nd Edition | آسیب شناسی زنان و زایمان، ویرایش دوم
10%

Gynecologic and Obstetric Pathology 2nd Edition

کد کتاب : 198962

انتشارات Springer

قیمت اصلی کتاب 6,112,000 تومان بود
قیمت فعلی کتاب 6,112,000 تومان است
Cancer Systems and Integrative Biology | سیستم های سرطان و زیست شناسی یکپارچه
10%

Cancer Systems and Integrative Biology

کد کتاب : 195438

انتشارات Humana Press Inc

قیمت اصلی کتاب 2,274,000 تومان بود
قیمت فعلی کتاب 2,274,000 تومان است
Brain Tumors: A Pocket Guide 1st ed | تومورهای مغزی: راهنمای جیبی ویرایش اول
10%

Brain Tumors: A Pocket Guide 1st ed

کد کتاب : 195360

انتشارات Springer

قیمت اصلی کتاب 984,000 تومان بود
قیمت فعلی کتاب 984,000 تومان است
Contemporary Rhinology: Science and Practice | راینولوژی معاصر: علم و عمل
10%

Contemporary Rhinology: Science and Practice

کد کتاب : 195270

انتشارات Springer

قیمت اصلی کتاب 1,697,000 تومان بود
قیمت فعلی کتاب 1,697,000 تومان است
Atlas of Clinical Cases on Brain Tumor Imaging | اطلس موارد بالینی در تصویربرداری تومور مغز
10%

Atlas of Clinical Cases on Brain Tumor Imaging

کد کتاب : 187685

انتشارات Springer

قیمت اصلی کتاب 1,480,000 تومان بود
قیمت فعلی کتاب 1,480,000 تومان است
تومور کمپل 2021
5%

تومور کمپل 2021

کد کتاب : 0081047

انتشارات آرتین طب

قیمت اصلی کتاب 600,000 تومان بود
قیمت فعلی کتاب 600,000 تومان است
Oxford Textbook of Neuro-Oncology | کتاب درسی نوروانکولوژی آکسفورد
10%

Oxford Textbook of Neuro-Oncology

کد کتاب : 198206

انتشارات Oxford University Press

قیمت اصلی کتاب 1,320,000 تومان بود
قیمت فعلی کتاب 1,320,000 تومان است
Hematopathology 3rd Edition | هماتوپاتولوژی چاپ سوم
10%

Hematopathology 3rd Edition

کد کتاب : 193009

انتشارات ELSEVIER

قیمت اصلی کتاب 4,953,000 تومان بود
قیمت فعلی کتاب 4,953,000 تومان است

پرفروش های لاتین/خون و سرطان - Hematology & Oncology

Transfusion Medicine Paper
10%

Transfusion Medicine Paper

کد کتاب : 103743

انتشارات John Wiley-Sons

قیمت اصلی کتاب 2,268,000 تومان بود
قیمت فعلی کتاب 2,268,000 تومان است
A Beginner's Guide to Blood Cells
10%

A Beginner's Guide to Blood Cells

کد کتاب : 103861

انتشارات John Wiley-Sons

قیمت اصلی کتاب 737,000 تومان بود
قیمت فعلی کتاب 737,000 تومان است
Hypertension and Cardiac Organ Damage | فشار خون بالا و آسیب اندام قلبی
10%

Hypertension and Cardiac Organ Damage

کد کتاب : 103910

انتشارات Springer

قیمت اصلی کتاب 782,000 تومان بود
قیمت فعلی کتاب 782,000 تومان است
Penile Cancer : Diagnosis and Treatment
10%

Penile Cancer : Diagnosis and Treatment

کد کتاب : 103961

انتشارات Churchill Livingstone

قیمت اصلی کتاب 737,000 تومان بود
قیمت فعلی کتاب 737,000 تومان است
Hypertension : Methods and Protocols
10%

Hypertension : Methods and Protocols

کد کتاب : 103962

انتشارات Humana Press Inc

قیمت اصلی کتاب 1,608,000 تومان بود
قیمت فعلی کتاب 1,608,000 تومان است
The Genetic Basis of Haematological Cancers
10%

The Genetic Basis of Haematological Cancers

کد کتاب : 104044

انتشارات John Wiley-Sons

قیمت اصلی کتاب 1,414,000 تومان بود
قیمت فعلی کتاب 1,414,000 تومان است
Cancer of Unknown Primary
10%

Cancer of Unknown Primary

کد کتاب : 104092

انتشارات Springer

قیمت اصلی کتاب 859,000 تومان بود
قیمت فعلی کتاب 859,000 تومان است
Oxford Textbook of Oncology
10%

Oxford Textbook of Oncology

کد کتاب : 104107

انتشارات Oxford University Press

قیمت اصلی کتاب 4,535,000 تومان بود
قیمت فعلی کتاب 4,535,000 تومان است
Abeloff's Clinical Oncology
10%

Abeloff's Clinical Oncology

کد کتاب : 104161

انتشارات ELSEVIER

قیمت اصلی کتاب 3,927,000 تومان بود
قیمت فعلی کتاب 3,927,000 تومان است
Williams Hematology Malignant Lymphoid Diseases
10%

Williams Hematology Malignant Lymphoid Diseases

کد کتاب : 104206

انتشارات Mc Graw Hill

قیمت اصلی کتاب 1,296,000 تومان بود
قیمت فعلی کتاب 1,296,000 تومان است
Neuro-Oncology: The Essentials
10%

Neuro-Oncology: The Essentials

کد کتاب : 104231

انتشارات Thieme

قیمت اصلی کتاب 2,268,000 تومان بود
قیمت فعلی کتاب 2,268,000 تومان است
Physics for Clinical Oncology
10%

Physics for Clinical Oncology

کد کتاب : 104289

انتشارات Oxford University Press

قیمت اصلی کتاب 1,031,000 تومان بود
قیمت فعلی کتاب 1,031,000 تومان است
Microbial Infections and Cancer Therapy
10%

Microbial Infections and Cancer Therapy

کد کتاب : 104335

انتشارات W. W. Norton & Company

قیمت اصلی کتاب 1,100,000 تومان بود
قیمت فعلی کتاب 1,100,000 تومان است
Hematology-Oncology Clinical Questions 2019
10%

Hematology-Oncology Clinical Questions 2019

کد کتاب : 104385

انتشارات McGraw-Hill Education

قیمت اصلی کتاب 2,239,000 تومان بود
قیمت فعلی کتاب 2,239,000 تومان است
Target Volume Delineation for Pediatric Cancers
10%

Target Volume Delineation for Pediatric Cancers

کد کتاب : 104439

انتشارات Springer

قیمت اصلی کتاب 1,039,000 تومان بود
قیمت فعلی کتاب 1,039,000 تومان است
Wintrobe's Clinical Hematology 14th Edicion 2019 | هماتولوژی بالینی وینتروب ویرایش14
10%

Wintrobe's Clinical Hematology 14th Edicion 2019

کد کتاب : 104463

انتشارات Lippincott Williams

قیمت اصلی کتاب 6,135,000 تومان بود
قیمت فعلی کتاب 6,135,000 تومان است
Hoffbrand's Essential Haematology
10%

Hoffbrand's Essential Haematology

کد کتاب : 104523

انتشارات Wiley-Blackwell

قیمت اصلی کتاب 1,414,000 تومان بود
قیمت فعلی کتاب 1,414,000 تومان است
AJCC Cancer Staging Manual
10%

AJCC Cancer Staging Manual

کد کتاب : 104560

انتشارات Springer

قیمت اصلی کتاب 3,681,000 تومان بود
قیمت فعلی کتاب 3,681,000 تومان است
Color Atlas of Oral Cancer
10%

Color Atlas of Oral Cancer

کد کتاب : 104702

انتشارات John Wiley-Sons

قیمت اصلی کتاب 859,000 تومان بود
قیمت فعلی کتاب 859,000 تومان است
Anderson's Atlas of Hematology 3rd Edition 2020 | اطلس هماتولوژی اندرسون 2020
5%

Anderson's Atlas of Hematology 3rd Edition 2020

کد کتاب : 105756

انتشارات Wolters Kluwer

قیمت اصلی کتاب 2,945,000 تومان بود
قیمت فعلی کتاب 2,945,000 تومان است
Postgraduate Haematology 7th Edition 2016 | هماتولوژی تحصیلات تکمیلی
10%

Postgraduate Haematology 7th Edition 2016

کد کتاب : 118636

انتشارات John Wiley-Sons Inc

قیمت اصلی کتاب 2,552,000 تومان بود
قیمت فعلی کتاب 2,552,000 تومان است

سوالات متداول در مورد خرید کتاب Haematolymphoid Tumours: WHO Classification of Tumours 5th Edition

قیمت این کتاب بسته به نوع جلد و نسخه متفاوت است و از 2,874,000 تومان شروع می شود. در حال حاضر با تخفیف 2,587,000 تومان عرضه می شود.
برای کتاب های انگلیسی یا لاتین، زمان تحویل بین 3 تا 6 روز کاری است.